GIS-LAB

Географические информационные системы и дистанционное зондирование

Создание треугольных сеток на сфере

Обсудить в форуме Комментариев — 9Редактировать в вики

Эта страница опубликована в основном списке статей сайта
по адресу http://gis-lab.info/qa/triangular-mesh-sphere.html


Рассматриваются вопросы создания треугольной сетки на сфере. Приводится программа построения сетки в сферическом треугольнике на Си. Прилагаются слои сетки на основе икосаэдра.

Постановка задачи[править]

Требуется создать регулярное покрытие сферы треугольниками, близкими по размеру и форме. В качестве эталона примем сетку, образованную на плоскости равносторонними треугольниками. Отличие геометрии треугольника от правильной равносторонней будем интерпретировать как искажение формы.[1]

В начале рассмотрим алгоритм построения сетки в базовом сферическом треугольнике. Затем уделим внимание различным способам разделения сферы на базовые сферические треугольники. Наконец, представим пример создания треугольной сетки на основе икосаэдра.

Генерация сетки в сферическом треугольнике[править]

Процедуру создания на некоторой поверхности сетки треугольников обычно называют триангуляцией. В качестве базы для создания сетки используем некоторый сферический треугольник, заданный координатами своих вершин.

Метод бисекции[править]

Назовём бисекцией операцию деления исходного треугольника на четыре треугольника нового поколения. Собственно термин «бисекция» относится к делению сторон пополам. В середины рёбер вставляются новые вершины (белые точки на рисунках), которые соединяются новыми рёбрами (пунктирные линии), образующими новые треугольники. Следующее поколение получается очередной бисекцией.

В терминах геометрии на сфере задача вставки точек в стороны треугольников решается последовательным решением обратной и прямой геодезических задач. Однако в данном случае гораздо проще использовать векторную алгебру. Пусть концы стороны заданы векторами a и b; тогда средняя точка f вычисляется как их нормированная сумма:

Первая бисекция
Вторая бисекция
Трисекция

Метод трисекции[править]

Исходный треугольник делится на девять треугольников нового поколения. В результате трисекции каждая сторона делится на три равных отрезка, в концы которых вставляются вершины. Итого шесть новых вершин, и седьмая вставляется в геометрический центр треугольника. Вершины соединяются рёбрами, образующими треугольники.

Проще всего вычислить положение центральной точки g:

где a, b и c — векторы вершин исходного треугольника.

Разделить стороны на три равных отрезка сложнее. Удобное решение предлагает утилита PROJ.4 geod:

$ geod -f "%f" +a=радиус_Земли +lat_1=широта_1 +lon_1=долгота_1 +lat_2=широта_2 +lon_2=долгота_2 +n_S=3

Здесь параметры lat_1, lon_1, lat_2, lon_2 задают начало и конец линии, а параметр n_S определяет число отрезков. Результатом будут широты и долготы четырёх точек, лежащих на равных расстояниях вдоль линии.

Программная реализация[править]

Приведём пример программы на Си генерации сетки в треугольнике, реализующей метод бисекции:

/* ========================================================================== *
 * triangulate
 *
 * Программа генерирует треугольную сетку в сферическом треугольнике.
 *
 * Usage: triangulate <triangle> <sections>
 *
 * Arguments:
 *    triangle - файл с координатами трёх точек
 *    sections - количество бисекций
 * ========================================================================== */
#include <stdio.h>
#include <stdlib.h>
#include <string.h>
#include <math.h>
#include "triangulate.h"

int main(int argc, char *argv[])
{
  s_tri *tri;
  char buf[1024], basename[1024], fname[1024], *ptr;
  int i, j, k, n, zoom, n_tri;
  int m, m0, m1;
  double x[3], y[2], lon, lat;
  FILE *fp;

  if (argc < 3) {
    puts("Usage: triangulate <triangle> <bisections>");
    exit(EXIT_SUCCESS);
  }
  zoom = atoi(argv[2]);

  strcpy(basename, argv[1]);
  if ((ptr = strrchr(basename, '.')) != NULL)
    *ptr = '\0';

  /* рассчитать число треугольников всех уровней */
  n = 1;     /* число отрезков разбиения базового треугольника */
  n_tri = 1; /* полная сумма треугольников */
  for (k = 0; k < zoom; k++) {
    n <<= 1;        /* бисекция */
    n_tri += n * n; /* добавить треугольники к сумме */
  }

  /* выделить память под треугольники */
  if ((tri = calloc(n_tri, sizeof(s_tri))) == NULL) {
    printf("can't allocate %d triangles\n", n_tri);
    exit(EXIT_FAILURE);
  }

  /* прочесть координаты точек базового треугольника */
  if ((fp = fopen(argv[1], "r")) == NULL) {
    printf("can't open %s\n", argv[1]);
    exit(EXIT_FAILURE);
  }
  for (i = 0; i < 3; i++) {
    if (fgets(buf, 1024, fp) == NULL) {
      printf("error reading %s\n", argv[1]);
      exit(EXIT_FAILURE);
    }
    sscanf(buf, "%lf %lf", &lon, &lat);
    y[0] = Radians(lon);
    y[1] = Radians(lat);
    SpherToCart(y, tri[0].pt[i]);
  }
  fclose(fp);

  /* начать вывод в файл точек */
  strcpy(fname, basename);
  strcat(fname, "_p.MIF");
  if ((fp = fopen(fname, "w")) == NULL) {
    printf("can't create %s\n", fname);
    exit(EXIT_FAILURE);
  }
  fputs("Version   300\n", fp);
  fputs("Charset \"WindowsCyrillic\"\n", fp);
  fputs("Delimiter \",\"\n", fp);
  fputs("CoordSys Earth Projection 1, 0\n", fp);
  fputs("Columns 1\n", fp);
  fputs("  id Decimal(10, 0)\n", fp);
  fputs("Data\n", fp);
  fputs("\n", fp);
  for (i = 0; i < 3; i++) {
    CartToSpher(tri[0].pt[i], y);
    fprintf(fp, "Point %f %f\n", Degrees(y[0]), Degrees(y[1]));
    fputs("    Symbol (49,0,12) \n", fp);
  }

  tri[0].full = 1;

  n = 1;     /* число отрезков разбиения базового треугольника */
  m0 = 0;    /* номер 1-го треугольника предыдущего уровня */
  m1 = 1;    /* номер 1-го треугольника следующего уровня */
  for (k = 0; k < zoom; k++) {
    n <<= 1;        /* бисекция */
    for (m = 0; m < m1 - m0; m++) {

      InsertPoint(tri[m0 + m].pt[1], tri[m0 + m].pt[2], tri[m1 + m*4].pt[0]);
      InsertPoint(tri[m0 + m].pt[2], tri[m0 + m].pt[0], tri[m1 + m*4].pt[1]);
      InsertPoint(tri[m0 + m].pt[0], tri[m0 + m].pt[1], tri[m1 + m*4].pt[2]);
      tri[m1 + m*4].full = !tri[m0 + m].full;

      memcpy(tri[m1 + m*4 + 1].pt[0], tri[m0 + m].pt[0], sizeof(double) * 3);
      memcpy(tri[m1 + m*4 + 1].pt[1], tri[m1 + m*4].pt[2], sizeof(double) * 3);
      memcpy(tri[m1 + m*4 + 1].pt[2], tri[m1 + m*4].pt[1], sizeof(double) * 3);
      tri[m1 + m*4 + 1].full = tri[m0 + m].full;

      memcpy(tri[m1 + m*4 + 2].pt[0], tri[m1 + m*4].pt[2], sizeof(double) * 3);
      memcpy(tri[m1 + m*4 + 2].pt[1], tri[m0 + m].pt[1], sizeof(double) * 3);
      memcpy(tri[m1 + m*4 + 2].pt[2], tri[m1 + m*4].pt[0], sizeof(double) * 3);
      tri[m1 + m*4 + 2].full = tri[m0 + m].full;

      memcpy(tri[m1 + m*4 + 3].pt[0], tri[m1 + m*4].pt[1], sizeof(double) * 3);
      memcpy(tri[m1 + m*4 + 3].pt[1], tri[m1 + m*4].pt[0], sizeof(double) * 3);
      memcpy(tri[m1 + m*4 + 3].pt[2], tri[m0 + m].pt[2], sizeof(double) * 3);
      tri[m1 + m*4 + 3].full = tri[m0 + m].full;

      if (!tri[m0 + m].full)
	continue;

      /* вывести точки */
      for (j = 0; j < 3; j++) {
	CartToSpher(tri[m1+m*4].pt[j], y);
	fprintf(fp, "Point %f %f\n", Degrees(y[0]), Degrees(y[1]));
	fputs("    Symbol (49,0,12) \n", fp);
      }
      i += 3;
    }
    m0 = m1;
    m1 += n * n;
  }
  fclose(fp);

  /* создать атрибуты точек */
  strcpy(fname, basename);
  strcat(fname, "_p.MID");
  if ((fp = fopen(fname, "w")) == NULL) {
    printf("can't create %s\n", fname);
    exit(EXIT_FAILURE);
  }
  for (i = 0; i < (n + 1) * (n + 2) / 2; i++)
    fprintf(fp, "%d\n", i + 1);
  fclose(fp);

  /*
   * Вывод треугольников
   */

  /* вывести треугольники в файл полигонов */
  strcpy(fname, basename);
  strcat(fname, "_a.MIF");
  if ((fp = fopen(fname, "w")) == NULL) {
    printf("can't create %s\n", fname);
    exit(EXIT_FAILURE);
  }
  fputs("Version   300\n", fp);
  fputs("Charset \"WindowsCyrillic\"\n", fp);
  fputs("Delimiter \",\"\n", fp);
  fputs("CoordSys Earth Projection 1, 0\n", fp);
  fputs("Columns 1\n", fp);
  fputs("  id Decimal(10, 0)\n", fp);
  fputs("Data\n", fp);
  fputs("\n", fp);
  n = 1;
  m0 = 0;
  m1 = 1;
  for (k = 0; k < zoom; k++) {
    n <<= 1;
    m0 = m1;
    m1 += n * n;
  }
  for (m = 0; m < m1 - m0; m++) {
    fputs("Region  1\n", fp);
    fputs("  4\n", fp);
    for (j = 0; j <= 3; j++) {
      i = j % 3;
      CartToSpher(tri[m0+m].pt[i], y);
      fprintf(fp, "%f %f\n", Degrees(y[0]), Degrees(y[1]));
    }
    fputs("    Pen (1,2,0) \n", fp);
    fputs("    Brush (1,0,16777215)\n", fp);
    for (j = 0; j < 3; j++)
      x[j] = tri[m0 + m].pt[0][j]
	+ tri[m0 + m].pt[1][j] + tri[m0 + m].pt[2][j];
    CartToSpher(x, y);
    fprintf(fp, "    Center %f %f\n", Degrees(y[0]), Degrees(y[1]));
  }
  fclose(fp);

  /* создать атрибуты полигонов */
  strcpy(fname, basename);
  strcat(fname, "_a.MID");
  if ((fp = fopen(fname, "w")) == NULL) {
    printf("can't create %s\n", fname);
    exit(EXIT_FAILURE);
  }
  n = 1;
  m0 = 0;
  m1 = 1;
  for (k = 0; k < zoom; k++) {
    n <<= 1;
    m0 = m1;
    m1 += n * n;
  }
  for (m = 0; m < m1 - m0; m++)
    fprintf(fp, "%d\n", m + 1);
  fclose(fp);

  /*
   * Вывод линий
   */

  /* вывести рёбра в файл линий */
  strcpy(fname, basename);
  strcat(fname, "_l.MIF");
  if ((fp = fopen(fname, "w")) == NULL) {
    printf("can't create %s\n", fname);
    exit(EXIT_FAILURE);
  }
  fputs("Version   300\n", fp);
  fputs("Charset \"WindowsCyrillic\"\n", fp);
  fputs("Delimiter \",\"\n", fp);
  fputs("CoordSys Earth Projection 1, 0\n", fp);
  fputs("Columns 1\n", fp);
  fputs("  id Decimal(10, 0)\n", fp);
  fputs("Data\n", fp);
  fputs("\n", fp);
  n = 1;
  m0 = 0;
  m1 = 1;
  for (k = 0; k < zoom; k++) {
    n <<= 1;
    m0 = m1;
    m1 += n * n;
  }
  for (m = 0; m < m1 - m0; m++) {
    if (!tri[m0 + m].full)
      continue;
    CartToSpher(tri[m0+m].pt[0], y);
    for (j = 0; j < 3; j++) {
      fputs("Pline 2\n", fp);
      fprintf(fp, "%f %f\n", Degrees(y[0]), Degrees(y[1]));
      i = (j + 1) % 3;
      CartToSpher(tri[m0+m].pt[i], y);
      fprintf(fp, "%f %f\n", Degrees(y[0]), Degrees(y[1]));
      fputs("    Pen (1,2,0) \n", fp);
    }
  }

  /* создать атрибуты линий */
  strcpy(fname, basename);
  strcat(fname, "_l.MID");
  if ((fp = fopen(fname, "w")) == NULL) {
    printf("can't create %s\n", fname);
    exit(EXIT_FAILURE);
  }
  j = 0;
  n = 1;
  m0 = 0;
  m1 = 1;
  for (k = 0; k < zoom; k++) {
    n <<= 1;
    m0 = m1;
    m1 += n * n;
  }
  for (m = 0; m < m1 - m0; m++)
    if (tri[m0 + m].full)
      for (i = 0; i < 3; i++)
	fprintf(fp, "%d\n", ++j);
  fclose(fp);

  free(tri);
  return 0;
}

/*
 * Вычисление среднего между двумя положениями
 *
 * Аргументы исходные:
 *     a, b - трёхмерные векторы двух положений
 *
 * Аргументы определяемые:
 *     c - вектор середины
 */
void InsertPoint(double a[], double b[], double c[])
{
  double r;
  int j;

  for (j = 0; j < 3; j++)
    c[j] = a[j] + b[j];
  r = sqrt(c[0] * c[0] + c[1] * c[1] + c[2] * c[2]);
  if (r == 0.)
    return;
  for (j = 0; j < 3; j++)
    c[j] /= r;

  return;
}

/*
 * Преобразование сферических координат в вектор
 *
 * Аргументы исходные:
 *     y - {долгота, широта}
 *
 * Аргументы определяемые:
 *     x - вектор {x, y, z}
 */
void SpherToCart(double y[], double x[])
{
  double p;

  p = cos(y[1]);
  x[2] = sin(y[1]);
  x[1] = p * sin(y[0]);
  x[0] = p * cos(y[0]);

  return;
}

/*
 * Преобразование вектора в сферические координаты
 *
 * Аргументы исходные:
 *     x - {x, y, z}
 *
 * Аргументы определяемые:
 *     y - {долгота, широта}
 *
 * Возвращает:
 *     длину вектора
 */
double CartToSpher(double x[], double y[])
{
  double p;

  p = hypot(x[0], x[1]);
  y[0] = atan2(x[1], x[0]);
  y[1] = atan2(x[2], p);

  return hypot(p, x[2]);
}

Текст кода находится в файле triangulate.c в архиве Sph_tri.zip. Файл triangulate.h содержит необходимые объявления:

#define Radians(x) (x / 57.29577951308232)
#define Degrees(x) (x * 57.29577951308232)

/* структура треугольника */
typedef struct {
  double pt[3][3]; /* координаты вершин */
  int full;        /* 0 - "пустой", 1 - "полный" */
} s_tri;

void InsertPoint(double a[],double b[],double c[]);
double CartToSpher(double x[],double y[]);
void SpherToCart(double y[],double x[]);
int main(int argc,char *argv[]);

Создадим исполняемый модуль triangulate компилятором gcc:

$ gcc -o triangulate triangulate.c -lm

Готовый исполняемый модуль для MS Windows triangulate.exe можно найти в архиве Sph_tri-win32.zip.

Программа запускается в командной строке с двумя аргументами. Первый аргумент — название файла, содержащего координаты вершин базового треугольники. Это должен быть текстовый файл, и в первых трёх строках он должен содержать значения координат «долгота широта» в десятичных градусах, разделённые пробелом или табуляцией. Второй аргумент — количество бисекций.

На выходе создаются файлы сетки отдельно для вершин, рёбер и фасеток.

Долготы всех точек в выходных файлах находятся в диапазоне от −180° до +180°.

В качестве координатной системы указана «долгота/широта внутренняя»: "CoordSys Earth Projection 1, 0". MapInfo под нулевым кодом подразумевает WGS 84, но QGIS и, возможно, другие программы интерпретируют этот код неверно. Для использования результатов в программах ГИС следует заменить ноль на требуемый код датума. Так, для WGS 84 следует подставить 104, для сферы Google — 157, а для Pulkovo-42 (Hungary) — 1001. Можно использовать и полную нотацию с явным указанием параметров преобразования Молоденского или Бурша-Вольфа; детали изложены в руководствах пользователя MapInfo Professional.

Сферические многогранники[править]

Сферический многогранник — разбиение сферы дугами больших окружностей на замкнутые области, называемые сферическими многоугольниками. Способы разбиения сферы ничем не ограничены. Однако регулярные построения обычно основаны на пространственной симметрии тетраэдра, октаэдра или икосаэдра.

Нас интересуют способы разбиения сферы на равносторонние или близкие к равносторонним треугольники. В центре такого треугольника построенная на его основе сетка будет близка к регулярной. Наибольшие искажения формы сетки будут вблизи углов базового треугольника. Несложный анализ показывает, что с позиции сохранения формы выгоднее всего опираться на симметрию икосаэдра. Подходящие многогранники — правильные и полуправильные, образованные треугольниками либо пяти- и шестиугольниками, которые разбиваются на почти равносторонние треугольники. Рассмотрим лишь несколько многогранников, удовлетворяющих этим требованиям.

Икосаэдр
Пентакисдодекаэдр
Икосододекаэдр
Усечённый икосаэдр
Курносый додекаэдр

Икосаэдр — классическое Платоново тело, сложенное двадцатью равносторонними треугольниками.

Пентакисдодекаэдр. Сплошные линии — рёбра классического додекаэдра. Пунктирные линии, разделяя каждую грань додэкаэдра на треугольники, превращают его в пентакисдодэкаэдр.

Икосододекаэдр образован жёлтыми треугольниками и красными пятиугольниками. Разделив пятиугольники на треугольники, как показано пунктирными линиями, получим основу для построения сетки. Полученная фигура не имеет самостоятельного значения, поскольку получается после бисекции граней икосаэдра.

Усечённый икосаэдр, он же «футбольный мяч», образован жёлтыми шестиугольниками и красными пятиугольниками. Разбив все грани на треугольники, получим основу для построения сетки. Полученная фигура структурно совпадает с результатом трисекции граней икосаэдра, хотя геометрия немного отличается: из трёх частей, на которые разделено каждое ребро икосаэдра, средняя несколько длиннее крайних.

Курносый додэкаэдр образован жёлтыми и голубыми треугольниками и красными пятиугольниками. Разбив пятиугольники на треугольники, получим основу для построения сетки.

Во всех многогранниках с икосаэдрической симметрией получаются одни и те же искажения формы сетки, максимальные вблизи вершин образующего икосаэдра.

Пример создания треугольной сетки на основе икосаэдра[править]

Поскольку максимальные искажения формы треугольников не зависят от сложности выбранного многогранника, выберем наиболее простой из рассмотренных, икосаэдр.

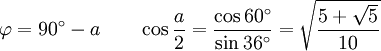
Сориентируем оси координатной системы определённым образом, чтобы две вершины икосаэдра оказались в полюсах сферической системы координат. Широты остальных вершин вычисляются по формулам:

где — длина ребра сферического икосаэдра. Получим следующие координаты вершин:

λ φ
1. 0 90
2. -180 26.5650511771
3. -108 26.5650511771
4. -36 26.5650511771
5. 36 26.5650511771
6. 108 26.5650511771
7. -144 -26.5650511771
8. -72 -26.5650511771
9. 0 -26.5650511771
10. 72 -26.5650511771
11. 144 -26.5650511771
12. 0 -90

Можно собрать тройки соседних вершин и на каждом треугольнике программой triangulate построить сетку. Однако с частью граней возникает проблема разрыва, поскольку выходные долготы находятся в диапазоне от −180° до +180°.

Заметим, что на икосаэдре в выбранной системе координат четыре класса треугольников, отличающихся широтным положением. В пределах класса треугольники отличаются друг от друга сдвигами по долготе на углы, кратные 72°.

Икосаэдр: четыре класса треугольников

Таким образом, достаточно использовать triangulate четыре раза, а сетки на оставшиеся грани получить переносами по долготе на 72°. Для переносов используем программу shiftxy, которая смещает объекты файла MIF на заданные приращения координат ∆X и ∆Y.

#include <stdio.h>
#include <stdlib.h>
#include <string.h>

#define NKEYS 12
#define STRMAX 1024

/* ========================================================================== *
 * shiftxy
 *
 * Программа читает объекты из входного файла MIF,
 * сдвигает их на (dx, dy) в единицах XY units слоя,
 * записывает в выходной файл MIF.
 *
 * Usage: shiftxy <input> <output> <dx> <dy>
 *
 * Аргументы:
 *     input  - входной файл MIF
 *     output - выходной файл MIF
 *     dx     - сдвиг по координате X
 *     dy     - сдвиг по координате Y
 *
 * Границы слоя не изменяются.
 *
 * Действий с файлом MID не производится,
 * просто используйте оригинал после копирования или перименования.
 * -------------------------------------------------------------------------- */
int main(int argc, char *argv[])
{
  char buf[STRMAX], w[8][128];
  char *keyword[NKEYS] = {
    "Arc", "Ellipse", "Line", "Pline", "Point", "Region", "Rect",
    "Roundrect", "Text", "Multipoint", "Center", "Multiple"
  };
  double dx, dy, x, y, x2, y2;
  int nsec, npt, t, k;
  FILE *fp0, *fp1;

  if (argc < 5) {
    puts("usage: shiftxy <input> <output> <dx> <dy>");
    exit(EXIT_SUCCESS);
  }
  if ((fp0 = fopen(argv[1], "r")) == NULL) {
    fprintf(stderr, "can't open %s\n", argv[1]);
    exit(EXIT_FAILURE);
  }
  if ((fp1 = fopen(argv[2], "w")) == NULL) {
    fprintf(stderr, "can't create %s\n", argv[2]);
    exit(EXIT_FAILURE);
  }
  dx = atof(argv[3]);
  dy = atof(argv[4]);
  nsec = npt = t = 0;
  while (fgets(buf, STRMAX, fp0) != NULL) {
    if (npt == 0) {
      if (nsec == 0) {
	switch (t) {
	case 2: /* Text string */
	  fputs(buf, fp1);
	  t = 1;
	  break;
	case 1: /* Text bbox */
	  sscanf(buf, "%s %s %s %s", w[0], w[1], w[2], w[3]);
	  x = atof(w[0]) + dx;
	  y = atof(w[1]) + dy;
	  x2 = atof(w[2]) + dx;
	  y2 = atof(w[3]) + dy;
	  fprintf(fp1, "    %f %f %f %f\n", x, y, x2, y2);
	  t = 0;
	  break;
	default:
	  sscanf(buf, "%s %s %s %s %s %s %s",
		 w[0], w[1], w[2], w[3], w[4], w[5], w[6]);
	  for (k = 0; k < NKEYS - 1; k++) {
	    if (strcmp(w[0], keyword[k]) == 0)
	      break;
	  }
	  switch (k) {
	  case 8: /* "Text" */
	    t = 2;
	    fputs(buf, fp1);
	    break;
	  case 9: /* "Multipoint" */
	    npt = atoi(w[1]);
	    fputs(buf, fp1);
	    break;
	  case 5: /* "Region" */
	    nsec = atoi(w[1]);
	    fputs(buf, fp1);
	    break;
	  case 3: /* "Pline" */
	    if (strcmp(w[1], keyword[NKEYS - 1]) == 0) /* "Pline Multiple" */
	      nsec = atoi(w[2]);
	    else
	      npt = atoi(w[1]);
	    fputs(buf, fp1);
	    break;
	  case 4: /* "Point" */
	    x = atof(w[1]) + dx;
	    y = atof(w[2]) + dy;
	    fprintf(fp1, "%s %f %f\n", w[0], x, y);
	    break;
	  case 10: /* "Center" */
	    x = atof(w[1]) + dx;
	    y = atof(w[2]) + dy;
	    fprintf(fp1, "    %s %f %f\n", w[0], x, y);
	    break;
	  case 1: /* "Ellipse" */
	  case 2: /* "Line" */
	  case 6: /* "Rect" */
	    x = atof(w[1]) + dx;
	    y = atof(w[2]) + dy;
	    x2 = atof(w[3]) + dx;
	    y2 = atof(w[4]) + dy;
	    fprintf(fp1, "%s %f %f %f %f\n",
		    w[0], x, y, x2, y2);
	    break;
	  case 7: /* "Roundrect" */
	    x = atof(w[1]) + dx;
	    y = atof(w[2]) + dy;
	    x2 = atof(w[3]) + dx;
	    y2 = atof(w[4]) + dy;
	    fprintf(fp1, "%s %f %f %f %f %s\n",
		    w[0], x, y, x2, y2, w[5]);
	    break;
	  case 0: /* "Arc" */
	    x = atof(w[1]) + dx;
	    y = atof(w[2]) + dy;
	    x2 = atof(w[3]) + dx;
	    y2 = atof(w[4]) + dy;
	    fprintf(fp1, "%s %f %f %f %f %s %s\n",
		    w[0], x, y, x2, y2, w[5], w[6]);
	    break;
	  default:
	    fputs(buf, fp1);
	  }
	}
      } else {
	npt = atoi(buf);
	fputs(buf, fp1);
	nsec--;
      }
    } else {
      sscanf(buf, "%s %s", w[0], w[1]);
      x = atof(w[0]) + dx;
      y = atof(w[1]) + dy;
      fprintf(fp1, "%f %f\n", x, y);
      npt--;
    }
  }
  fclose(fp1);
  fclose(fp0);
  return 0;
}

Исходный код находится в файле shiftxy.c в архиве Sph_tri.zip, исполняемый модуль для MS Windows shiftxy.exe в архиве Sph_tri-win32.zip. Программа запускается в командной строке с четырьмя аргументами: входной файл, выходной файл, сдвиг по X, сдвиг по Y:

$ shiftxy setka_1.MIF setka_2.MIF 72 0

Программа не обрабатывает файлы MID, их можно получать из исходных копированием. Работу придётся выполнить отдельно для слоёв нужных типов — точечных вершин, линейных рёбер и площадных фасеток. В конце останется собрать двадцать слоёв в один и красиво обрезать, — отдельно для каждого типа.

В качестве примера приведём сетку, полученную путём четырёхкратной бисекции граней икосаэдра. Файлы слоёв вершин и фасеток находятся в архиве icos4.zip.

Фрагмент сетки на основе икосаэдра

Примечания[править]

  1. Эталон — равносторонний треугольник, в котором, как следствие, равны углы. Количественной мерой близости к эталону может быть, например, отношение синусов длин короткой и длинной сторон. Оно же равно отношению синусов наименьшего и наибольшего углов. Такая мера корректна, если углы и стороны не превышают 90°.

Ссылки[править]

Обсудить в форуме Комментариев — 9Редактировать в вики

Последнее обновление: 2014-06-17 21:09

Дата создания: 16.04.2014
Автор(ы): ErnieBoyd