Где найти вывод преобразований Гельмерта,Молоденского etc?
-
kefi
- Интересующийся
- Сообщения: 46
- Зарегистрирован: 20 ноя 2011, 23:04
- Репутация: 0
Где найти вывод преобразований Гельмерта,Молоденского etc?
Как-то хотелось бы посмотреть, как-же были получены данные преобразования.
Ткните , плз, кто-нибудь носом в ссылку, только , если это монография на тыщу листов, то укажите на нужную страницу .
И(или),может,кто-ни может перечислить исходные положения и принципы вывода формул, использующиеся при выводе данных преобразований.
Ткните , плз, кто-нибудь носом в ссылку, только , если это монография на тыщу листов, то укажите на нужную страницу .
И(или),может,кто-ни может перечислить исходные положения и принципы вывода формул, использующиеся при выводе данных преобразований.
-
ericsson
- Гуру
- Сообщения: 3321
- Зарегистрирован: 27 июл 2009, 19:26
- Репутация: 748
- Ваше звание: Вредитель полей
Re: Где найти вывод преобразований Гельмерта,Молоденского et
http://en.wikipedia.org/wiki/Helmert_transformation - тут практически все написано. Сначала в векторном, потом в матричном виде...
-
kefi
- Интересующийся
- Сообщения: 46
- Зарегистрирован: 20 ноя 2011, 23:04
- Репутация: 0
Re: Где найти вывод преобразований Гельмерта,Молоденского et
2 ericsson »
Или шутить изволите, или меня посчитали настолько умным, что я могу сам вывести эти уравнения - ведь не только там такая красота расписана - она везде такая есть.
А вот вывод этих уравнений-то где посмотреть можно?
Или шутить изволите, или меня посчитали настолько умным, что я могу сам вывести эти уравнения - ведь не только там такая красота расписана - она везде такая есть.
А вот вывод этих уравнений-то где посмотреть можно?
-
ericsson
- Гуру
- Сообщения: 3321
- Зарегистрирован: 27 июл 2009, 19:26
- Репутация: 748
- Ваше звание: Вредитель полей
Re: Где найти вывод преобразований Гельмерта,Молоденского et
Да нет, не шутить...
Просто для знакомого с математикой переход от векторной формы (и пары поясняющих фраз после, про типы преобразований) к матричной если не очевиден, то ясен. А "вывод" - это как студентам на лекциях в самом начале курса высшей алгебры объясняют все действия по одному шагу. А поскольку это материал вовсе не из начал, то предполагается, что уже по мелким шагам не надо, достаточно крупных. Так что я даже не знаю, есть ли в природе пошаговый разбор этого частного случая.
Просто для знакомого с математикой переход от векторной формы (и пары поясняющих фраз после, про типы преобразований) к матричной если не очевиден, то ясен. А "вывод" - это как студентам на лекциях в самом начале курса высшей алгебры объясняют все действия по одному шагу. А поскольку это материал вовсе не из начал, то предполагается, что уже по мелким шагам не надо, достаточно крупных. Так что я даже не знаю, есть ли в природе пошаговый разбор этого частного случая.
-
kefi
- Интересующийся
- Сообщения: 46
- Зарегистрирован: 20 ноя 2011, 23:04
- Репутация: 0
Re: Где найти вывод преобразований Гельмерта,Молоденского et
2 ericson>
Ой, нет, Вы все же шутите, я прошу быть посерьезнее.Причем, здесь переход от векторной(матричной) к скалярной формам(это-то все знают) - в огороде Бузина , а в в Киеве Кучма(т.е. Янукович уже) я же ясно спросил про ВЫВОД ?
Ой, нет, Вы все же шутите, я прошу быть посерьезнее.Причем, здесь переход от векторной(матричной) к скалярной формам(это-то все знают) - в огороде Бузина , а в в Киеве Кучма(т.е. Янукович уже) я же ясно спросил про ВЫВОД ?
Ну Вы так пишете, что Вам , как я понял, откуда взялись эти уравнения X'=C+mRX ясно , как дважды-два, и Вы даже сомневаетесь, объясняют ли такую ерунду вообще . Ну вот мне эта ерунда неясна, я вообще так понимаю, что ПРЕОБРАЗОВАНИЕ координат из одной СК в другую имеет весьма сложное описание, которое зависит от ТИПА (что самое интересное) преобразования - вот я и прошу показать вывод или конкретно ткнуть пальцем в страницу той книжки, где это описано(наверняка, вывод описан не на одном листе, особенно, если учесть описание всяких допущений и если смотреть еще и всякие РАЗНЫЕ преобразования типа Молоденского).Так что я даже не знаю, есть ли в природе пошаговый разбор этого частного случая.
-
chnav
- Новоприбывший
- Сообщения: 9
- Зарегистрирован: 05 июн 2010, 10:11
- Репутация: 0
Re: Где найти вывод преобразований Гельмерта,Молоденского et
kefi
Преобразование координат с одного эллипсоида на другой происходит в геоцентрической системе координат XYZ. Последовательность выглядит так
1. LLH (широта/долгота/высота) на исходном эллипсоиде переводится в XYZ (однозначная формула, потерь точности нет);
2. Производится поворот и смещение системы координат в соответствии с параметрами перехода (смещение центра, небольшой разворот осей, небольшое изменение масштаба - если память не изменяет это аффинное преобразование). На этом этапе используется матричные формулы, упомянутое вами. В результате имеем геоцентрические координаты X'Y'Z' в конечной СК. Я пытался найти хоть какую-то картинку, объясняющую этот пункт, но видимо он действительно считается простым и естественным, ничего найти не смог.
На этом этапе тоже потерь точности нет.
3. Производится преобразование X'Y'Z' в геодезические L'L'H' на искомом эллипсоиде (тут уже приближенные формулы разной точности).
Есть и более сложные случаи, например перевод из одной прямоугольной проекции в другую. Например у нас есть координаты UTM на WGS-72 в виде ENU (easting/northing/up), а нужно UTM на WGS-84. К описанному алгоритму выше добавляются еще два этапа.
0. Координаты UTM WGS72 переводятся в LLH (широта-долгота, высота не меняется, приближенные формулы, есть потери точности);
1-3. (без изменений)
4. Геодезические координаты WGS84 переводятся в прямоугольные UTM WGS84. Тоже приближенные формулы, есть потери точности.
Там где написано "потери точности" - в зависимости от алгоритмов речь может идти от долей миллиметров до дециметров. В зависимости от требований выбираются те или иные формулы. С современными компьютерами можно всегда пользоваться наиболее точными формулами.
Преобразование координат с одного эллипсоида на другой происходит в геоцентрической системе координат XYZ. Последовательность выглядит так
1. LLH (широта/долгота/высота) на исходном эллипсоиде переводится в XYZ (однозначная формула, потерь точности нет);
2. Производится поворот и смещение системы координат в соответствии с параметрами перехода (смещение центра, небольшой разворот осей, небольшое изменение масштаба - если память не изменяет это аффинное преобразование). На этом этапе используется матричные формулы, упомянутое вами. В результате имеем геоцентрические координаты X'Y'Z' в конечной СК. Я пытался найти хоть какую-то картинку, объясняющую этот пункт, но видимо он действительно считается простым и естественным, ничего найти не смог.
На этом этапе тоже потерь точности нет.
3. Производится преобразование X'Y'Z' в геодезические L'L'H' на искомом эллипсоиде (тут уже приближенные формулы разной точности).
Есть и более сложные случаи, например перевод из одной прямоугольной проекции в другую. Например у нас есть координаты UTM на WGS-72 в виде ENU (easting/northing/up), а нужно UTM на WGS-84. К описанному алгоритму выше добавляются еще два этапа.
0. Координаты UTM WGS72 переводятся в LLH (широта-долгота, высота не меняется, приближенные формулы, есть потери точности);
1-3. (без изменений)
4. Геодезические координаты WGS84 переводятся в прямоугольные UTM WGS84. Тоже приближенные формулы, есть потери точности.
Там где написано "потери точности" - в зависимости от алгоритмов речь может идти от долей миллиметров до дециметров. В зависимости от требований выбираются те или иные формулы. С современными компьютерами можно всегда пользоваться наиболее точными формулами.
-
kefi
- Интересующийся
- Сообщения: 46
- Зарегистрирован: 20 ноя 2011, 23:04
- Репутация: 0
Re: Где найти вывод преобразований Гельмерта,Молоденского et
chnav
Спасибо за адекватный ответ. Он Почти весь понятен (кроме второй части про UTM на WGS-72 - пока не догнал).
Что касается понятного :
Вообще , мутновато, если рассмотреть в свете вообще как составляются карты , начиная от триангуляции. Ну и это " Я пытался найти хоть какую-то картинку, объясняющую этот пункт, но видимо он действительно считается простым и естественным, ничего найти не смог." говорит как-раз об обратном.
А что касается, "На этом этапе тоже потерь точности нет", так тут уже интереснее я могу даже не зная вывода преобразований Гельмерта, ДОКАЗАТЬ, что погрешности не только есть, а более того, ПРИНЦИПИАЛЬНО невозможно указанным аналитическим способом Гельмерта(может и Моложенского) перейти к X'Y'Z' в конечной СК. Вернее, как раз перейти к X'Y'Z' в конечной СК можно и, причем, абсолютно точно, но к КАКИМ X'Y'Z'? Вовсе не тем, что будут давать координаты ОБЪЕКТА - это будет просто преобразованием координатной сетки первой системы координат во вторую, таких преобразований можно напридумывать сколь угодно.
Но чтобы мне получше понять фишку и объясниться, хотелось бы все же увидеть вывод тех преобразований Гельмерта.
которая позволяет вычислить геодезическую широту методом последовательных приближений, которые будут сходящимися. Так, если требуется вычислить широту с точностью до 0. 0001"' , достаточно трех приближений.
Спасибо за адекватный ответ. Он Почти весь понятен (кроме второй части про UTM на WGS-72 - пока не догнал).
Что касается понятного :
согласен, без трудов выводится даже почти без дифференцирования.1. LLH (широта/долгота/высота) на исходном эллипсоиде переводится в XYZ (однозначная формула, потерь точности нет);
не согласен. Собственно ,искомые преобразования только в этом пункте и находятся (а 1 и 3 пункты можно со знаниями пятиклассника вывести) :2. Производится поворот и смещение системы координат в соответствии с параметрами перехода (смещение центра, небольшой разворот осей, небольшое изменение масштаба - если память не изменяет это аффинное преобразование). На этом этапе используется матричные формулы, упомянутое вами. В результате имеем геоцентрические координаты X'Y'Z' в конечной СК. Я пытался найти хоть какую-то картинку, объясняющую этот пункт, но видимо он действительно считается простым и естественным, ничего найти не смог.
На этом этапе тоже потерь точности нет.
Вообще , мутновато, если рассмотреть в свете вообще как составляются карты , начиная от триангуляции. Ну и это " Я пытался найти хоть какую-то картинку, объясняющую этот пункт, но видимо он действительно считается простым и естественным, ничего найти не смог." говорит как-раз об обратном.
А что касается, "На этом этапе тоже потерь точности нет", так тут уже интереснее я могу даже не зная вывода преобразований Гельмерта, ДОКАЗАТЬ, что погрешности не только есть, а более того, ПРИНЦИПИАЛЬНО невозможно указанным аналитическим способом Гельмерта(может и Моложенского) перейти к X'Y'Z' в конечной СК. Вернее, как раз перейти к X'Y'Z' в конечной СК можно и, причем, абсолютно точно, но к КАКИМ X'Y'Z'? Вовсе не тем, что будут давать координаты ОБЪЕКТА - это будет просто преобразованием координатной сетки первой системы координат во вторую, таких преобразований можно напридумывать сколь угодно.
Но чтобы мне получше понять фишку и объясниться, хотелось бы все же увидеть вывод тех преобразований Гельмерта.
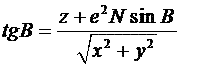
не согласен с тем, что приближенные формулы разной точности. Легко увидеть Вашу нелогичность - если уж на первом этапе мы умеет точно преобразовывать, но на этом обратном этапе аналогично, ну , разве , что с ничтожной ошибкой численных методов разрешения неявных функций,например там для широты (см вложение) получается неявная функция,3. Производится преобразование X'Y'Z' в геодезические L'L'H' на искомом эллипсоиде (тут уже приближенные формулы разной точности).
которая позволяет вычислить геодезическую широту методом последовательных приближений, которые будут сходящимися. Так, если требуется вычислить широту с точностью до 0. 0001"' , достаточно трех приближений.
- Вложения
-
- 123.gif (1.57 КБ) 17294 просмотра
-
chnav
- Новоприбывший
- Сообщения: 9
- Зарегистрирован: 05 июн 2010, 10:11
- Репутация: 0
Re: Где найти вывод преобразований Гельмерта,Молоденского et
kefi
По поводу точности формул - вы не забывайте что большинство из них выводились несколько сотен лет назад, и провести три итерации указанной вами формулы было крайне сложно еще 50 лет назад (используя таблицы или арифмометры точность естественно падала еще больше). Поэтому в геодезических учебниках присутствуют различные ухищрения, разложения в ряды и пр. на сегодня согласен, любой мобильный телефон обладает достаточной мощностью для подобных вычислений в реальном времени.
Нелогичность в том что можно относительно просто перевести LLH --> XYZ, а наоборот требуются ухищрения ? Не все уравнения можно решить в лоб, отсюда возникают итерации (а раз итераций больше одной - это всё-равно остается _приблизительным_ методом).
Насчет разворота осей, самое близкое что я нашел - аффинное преобразование. Вот там, в аналитической геометрии и линейной алгебре, надо искать вывод формул. В геодезии это принимается как факт.
По поводу точности формул - вы не забывайте что большинство из них выводились несколько сотен лет назад, и провести три итерации указанной вами формулы было крайне сложно еще 50 лет назад (используя таблицы или арифмометры точность естественно падала еще больше). Поэтому в геодезических учебниках присутствуют различные ухищрения, разложения в ряды и пр. на сегодня согласен, любой мобильный телефон обладает достаточной мощностью для подобных вычислений в реальном времени.
Нелогичность в том что можно относительно просто перевести LLH --> XYZ, а наоборот требуются ухищрения ? Не все уравнения можно решить в лоб, отсюда возникают итерации (а раз итераций больше одной - это всё-равно остается _приблизительным_ методом).
Насчет разворота осей, самое близкое что я нашел - аффинное преобразование. Вот там, в аналитической геометрии и линейной алгебре, надо искать вывод формул. В геодезии это принимается как факт.
-
kefi
- Интересующийся
- Сообщения: 46
- Зарегистрирован: 20 ноя 2011, 23:04
- Репутация: 0
Re: Где найти вывод преобразований Гельмерта,Молоденского et
2 chnav »
Давайте не будем говорить о вычислительных ошибках - я уже который раз так или иначе прошу об этом. Оттого я и назвал "нелогичным" Ваше отношение к 1) и 3) пунктам. Вычислительные ошибки меня , как раз не так волнуют. А уж если говорить о них, то, как я понимаю, вычислительная неточность(погрешность) Преобразования координат испокон веков (т.е. как только возникла серьезная потребность в Преобразованиях - первая половина прошлого века) была несущественной по сравнению именно с методической погрешностью метода Преобразования .
Насчет того, что в Геодезии нет вывода формул, типа используемых при аффинных преобразованиях - тоже не согласен - Вы посмотрите учебники по картографии. Ничего на веру не принимается , как факт, - все выводится и доказывается.
Я Вам еще раз хочу сказать, что вижу методическую погрешность в преобразовании Гельмерта , которая принципиально не позволит с его помощью с точностью вычислительной процедуры, преобразовать координаты физического объекта с одной карты в другую.
Поэтому-то меня и заинтересовала ВСЯ процедура в общем составления карты и Преобразования координат объекта с одной карты в другую, в которой вывод формул Преобразования пока для меня наиболее темное место. Да,впрочем, как я смотрю, - и для всех здесь тоже.
Просто я думал, что здесь есть геодезисты, ну или , может я чего не до понимаю и геодезистам знать такие вещи не положено, но это как-то нелогично.
За наводку на Аффинные преобразования спасибо, конечно, они наиболее похожи на Гельмерта, правда, нужно еще там поковыряться, но есть ведь еще другие типа Молоденского () и проч. (см , например, КОМАРОВСКИЙ. ИСПОЛЬЗОВАНИЕ РАЗЛИЧНЫХ ГЕОДЕЗИЧЕСКИХ СИСТЕМ), для которых декларируется разная степень точности - вот интересно для каких условий использования она эта точность приведена (что , например, в вышеупомянутой книжке Комаровского совершенно не ясно).
Давайте не будем говорить о вычислительных ошибках - я уже который раз так или иначе прошу об этом. Оттого я и назвал "нелогичным" Ваше отношение к 1) и 3) пунктам. Вычислительные ошибки меня , как раз не так волнуют. А уж если говорить о них, то, как я понимаю, вычислительная неточность(погрешность) Преобразования координат испокон веков (т.е. как только возникла серьезная потребность в Преобразованиях - первая половина прошлого века) была несущественной по сравнению именно с методической погрешностью метода Преобразования .
Насчет того, что в Геодезии нет вывода формул, типа используемых при аффинных преобразованиях - тоже не согласен - Вы посмотрите учебники по картографии. Ничего на веру не принимается , как факт, - все выводится и доказывается.
Я Вам еще раз хочу сказать, что вижу методическую погрешность в преобразовании Гельмерта , которая принципиально не позволит с его помощью с точностью вычислительной процедуры, преобразовать координаты физического объекта с одной карты в другую.
Поэтому-то меня и заинтересовала ВСЯ процедура в общем составления карты и Преобразования координат объекта с одной карты в другую, в которой вывод формул Преобразования пока для меня наиболее темное место. Да,впрочем, как я смотрю, - и для всех здесь тоже.
За наводку на Аффинные преобразования спасибо, конечно, они наиболее похожи на Гельмерта, правда, нужно еще там поковыряться, но есть ведь еще другие типа Молоденского () и проч. (см , например, КОМАРОВСКИЙ. ИСПОЛЬЗОВАНИЕ РАЗЛИЧНЫХ ГЕОДЕЗИЧЕСКИХ СИСТЕМ), для которых декларируется разная степень точности - вот интересно для каких условий использования она эта точность приведена (что , например, в вышеупомянутой книжке Комаровского совершенно не ясно).
-
chnav
- Новоприбывший
- Сообщения: 9
- Зарегистрирован: 05 июн 2010, 10:11
- Репутация: 0
Re: Где найти вывод преобразований Гельмерта,Молоденского et
kefi писал(а):2 chnav »
Я Вам еще раз хочу сказать, что вижу методическую погрешность в преобразовании Гельмерта , которая принципиально не позволит с его помощью с точностью вычислительной процедуры, преобразовать координаты физического объекта с одной карты в другую.
Я не очень понимаю о чем идет речь, как вы проверяете координаты физического объекта в разных системах координат ? Скажите прямо что у вас не бьется - генштаб и GPS, или геодезический пункт и GPS... Точных параметров перехода WGS84-СК42 не существует в природе. В Питере оптимальны одни значения, на Сахалине - другие. Потому что СК-42 гнался на восток теодолитами, ошибок накопилось пару десятков метров. И так по всем датумам, не только СК-42. Обратите внимание на слово "датум": один и тот же эллипсоид (Кларка, WGS72 и др.) может использоваться в разных датумах, при этом параметры перехода будут разные.
Про Молоденского... - это который трехпараметровый переход ? Оставляем только 3 параметра из 7-параметрового перехода - вот и Молоденский
PS: в интернете сложно объясняться, не знаешь уровня подготовки собеседника - что он уже знает, что выучил, что прочитал. Поэтому обычно серьезные темы не обсуждаются. Вы лучше скажите какая конкретно формула вас интересует, можно будет думать дальше. Еще есть форум geodesist.ru, если там грамотно сформулируете вопрос - получите грамотный ответ.
-
kefi
- Интересующийся
- Сообщения: 46
- Зарегистрирован: 20 ноя 2011, 23:04
- Репутация: 0
Re: Где найти вывод преобразований Гельмерта,Молоденского et
2 chnav »
Я согласен, что серьезные темы сложно обсуждать в Inet, но тем не менее - другого пути "у жизни просто нет", после появления Сети, люди будут обсуждать в ней ЛЮБЫЕ сложные в т.ч. вопросы, узнавая так или иначе собеседника по его ответам.
В общем-то я поставил вопрос очень ясный - не мог ли кто ткнуть пальцем, в вывод , ну или обоснование применимости ( а лучше и в то и в то) формул преобразований Гельмерта , Молоденского и прочих, см ниже. В общем -то я даже обсуждения обоснования адекватности этих Преобразований в теме не навязывал, ну если кто согласен обсудить, то я только рад.
Т.е. причина того, что "Точных параметров перехода WGS84-СК42 не существует в природе. В Питере оптимальны одни значения, на Сахалине - другие." по Вашему - в погрешностях измерений, а по-моему (нет, ну конечно, я не отрицаю погрешностей измерений, но они как-раз могут быть уменьшены) основная как-раз составляющая находится в методической погрешности Преобразований СК друг в друга! Причем, вообще , боюсь, что это многие не понимают, точнее даже хуже - понимают не верно, ведь есть же ГОСТы, а на теорию накласть. Но для более обоснованного объяснения мне необходимо то, что я уже сказал -
вывод , ну или обоснование применимости ( а лучше и в то и в то) формул преобразований Гельмерта , Молоденского и прочих.
ВысокоТочные:
Гельмерта(7 параметров),
Регрессионный (вот тоже интересно - условия получения уравнения регрессии),
Молоденский-Бадекас(10 параметров)
Точные:
Способ Молоденского () стр 200 - не знаю, трех ли это параметров и откуда он получен, но дальше в книжке еще есть один в приближенных способах - тоже Молоденского тоже трех параметров.
Средней точнности :
Стандартный способ Молоденского (модификация изложенного выше способа М.С. Молоденского тоже трех параметров)
и т.д. уже не важно, ибо вопрос несколько выше был такой :
при каких условиях использования можно достигнуть указанной выше точности (даже для средней точности там указано +-5м, по мне так неплохо) ?
Я согласен, что серьезные темы сложно обсуждать в Inet, но тем не менее - другого пути "у жизни просто нет", после появления Сети, люди будут обсуждать в ней ЛЮБЫЕ сложные в т.ч. вопросы, узнавая так или иначе собеседника по его ответам.
В общем-то я поставил вопрос очень ясный - не мог ли кто ткнуть пальцем, в вывод , ну или обоснование применимости ( а лучше и в то и в то) формул преобразований Гельмерта , Молоденского и прочих, см ниже. В общем -то я даже обсуждения обоснования адекватности этих Преобразований в теме не навязывал, ну если кто согласен обсудить, то я только рад.
Во-первых, я не проверяю "координаты физического объекта в разных системах координат", я говорил, что могу аналитически доказать (ну или хотя бы убедительно показать), что Преобразования Гельмерта не могут дать в принципе точного преобразования. И (опять таки я Вам благодарен за понятный ответ ) вовсе не из-за погрешностей теодолитных проходок (!), а даже , если бы триангуляционные сети вообще не вносили НИКАКУЮ погрешность (идеализация), то и в этом случае, все-равно сами преобразования Гельмерта вносят методическую (а НЕ так полюбившуюся Вам вычислительную) погрешность.Я не очень понимаю о чем идет речь, как вы проверяете координаты физического объекта в разных системах координат ? Скажите прямо что у вас не бьется - генштаб и GPS, или геодезический пункт и GPS... Точных параметров перехода WGS84-СК42 не существует в природе. В Питере оптимальны одни значения, на Сахалине - другие. Потому что СК-42 гнался на восток теодолитами, ошибок накопилось пару десятков метров.
Т.е. причина того, что "Точных параметров перехода WGS84-СК42 не существует в природе. В Питере оптимальны одни значения, на Сахалине - другие." по Вашему - в погрешностях измерений, а по-моему (нет, ну конечно, я не отрицаю погрешностей измерений, но они как-раз могут быть уменьшены) основная как-раз составляющая находится в методической погрешности Преобразований СК друг в друга! Причем, вообще , боюсь, что это многие не понимают, точнее даже хуже - понимают не верно, ведь есть же ГОСТы, а на теорию накласть. Но для более обоснованного объяснения мне необходимо то, что я уже сказал -
вывод , ну или обоснование применимости ( а лучше и в то и в то) формул преобразований Гельмерта , Молоденского и прочих.
Какие Способы? Ну вот тут КОМАРОВСКИЙ. ИСПОЛЬЗОВАНИЕ РАЗЛИЧНЫХ ГЕОДЕЗИЧЕСКИХ СИСТЕМ пишет :Про Молоденского... - это который трехпараметровый переход ? Оставляем только 3 параметра из 7-параметрового перехода - вот и МолоденскийЭто упрощенный переход,
И далее приводит СпособыК настоящему времени существует целый ряд
способов преобразования координат, которые нуждаются в
классификации. С точки зрения точности преобразования
существующие способы можно разделить на высокоточные, точные,
способы средней точности и приближенные. Высокоточные способы
обеспечивают преобразование координат с погрешностью, лежащей в
пределах от нескольких миллиметров до ±1 метра. Точные способы
позволяют получать координаты с точностью в диапазоне от ±1 до ±2
метров. Средняя точность преобразования допускает погрешности от
±2 до ±5 метров. Приближенные способы заметно уступают
последним, поскольку погрешности их преобразования намного выше
±5 метров.
ВысокоТочные:
Гельмерта(7 параметров),
Регрессионный (вот тоже интересно - условия получения уравнения регрессии),
Молоденский-Бадекас(10 параметров)
Точные:
Способ Молоденского () стр 200 - не знаю, трех ли это параметров и откуда он получен, но дальше в книжке еще есть один в приближенных способах - тоже Молоденского тоже трех параметров.
Средней точнности :
Стандартный способ Молоденского (модификация изложенного выше способа М.С. Молоденского тоже трех параметров)
и т.д. уже не важно, ибо вопрос несколько выше был такой :
при каких условиях использования можно достигнуть указанной выше точности (даже для средней точности там указано +-5м, по мне так неплохо) ?
Кто сейчас на конференции
Сейчас этот форум просматривают: нет зарегистрированных пользователей и 19 гостей