Экстренно нужна помощь в выравнивании высот!

MapInfo, MapBasic
gammbeat
Новоприбывший
Сообщения: 9
Зарегистрирован: 09 дек 2015, 17:14
Репутация: 0

Экстренно нужна помощь в выравнивании высот!

Сообщение gammbeat » 09 дек 2015, 17:30

Здравствуйте! очень нужна помощь! суть проблемы: как имея файл координат: xyz, состоящий из пересекающихся линий выровнять высоты на крестах( в местах пересечений)?
нужно что то вроде интерполяции но чтоб не создавать новую точку, а изменить координаты уже существующих. высоты на пересечениях не бьют - разнятся в некоторых местах по 5-7 метров. в ручную править можно ооочень долго. хелп народ((
Вложения
111.jpg
111.jpg (44.23 КБ) 9516 просмотров

gammbeat
Новоприбывший
Сообщения: 9
Зарегистрирован: 09 дек 2015, 17:14
Репутация: 0

Re: Экстренно нужна помощь в выравнивании высот!

Сообщение gammbeat » 09 дек 2015, 17:32

Прошу прощения за создание двух тем, интернет подвел(

Донецков
Гуру
Сообщения: 3058
Зарегистрирован: 19 май 2010, 19:44
Репутация: 189

Re: Экстренно нужна помощь в выравнивании высот!

Сообщение Донецков » 09 дек 2015, 17:43

А какой вариант-то высот верный на какой из линий?

gammbeat
Новоприбывший
Сообщения: 9
Зарегистрирован: 09 дек 2015, 17:14
Репутация: 0

Re: Экстренно нужна помощь в выравнивании высот!

Сообщение gammbeat » 09 дек 2015, 17:51

сложный вопрос. уже не узнать, поэтому и хочу как то усреднить это значение. есть возможность? ил итолько ручками?

sysrepos
Активный участник
Сообщения: 128
Зарегистрирован: 07 окт 2012, 16:25
Репутация: 20
Откуда: Москва

Re: Экстренно нужна помощь в выравнивании высот!

Сообщение sysrepos » 09 дек 2015, 17:55

выложите файл, так не очень понятно

gammbeat
Новоприбывший
Сообщения: 9
Зарегистрирован: 09 дек 2015, 17:14
Репутация: 0

Re: Экстренно нужна помощь в выравнивании высот!

Сообщение gammbeat » 09 дек 2015, 18:31

файл приложил
Вложения
topsel.txt
(691.24 КБ) 564 скачивания

gammbeat
Новоприбывший
Сообщения: 9
Зарегистрирован: 09 дек 2015, 17:14
Репутация: 0

Re: Экстренно нужна помощь в выравнивании высот!

Сообщение gammbeat » 09 дек 2015, 18:34

файл приложил
Вложения
topsel.txt
(691.24 КБ) 458 скачиваний

sysrepos
Активный участник
Сообщения: 128
Зарегистрирован: 07 окт 2012, 16:25
Репутация: 20
Откуда: Москва

Re: Экстренно нужна помощь в выравнивании высот!

Сообщение sysrepos » 09 дек 2015, 19:59

должно быть два файла с одинаковым набором координат, но с разным значением высот, так?
если да, то вы выложили два идентичных файла (высоты в них одинаковые)

Александр Мурый
Гуру
Сообщения: 5173
Зарегистрирован: 26 сен 2009, 16:26
Репутация: 792
Ваше звание: званий не имею
Откуда: Москва

Re: Экстренно нужна помощь в выравнивании высот!

Сообщение Александр Мурый » 10 дек 2015, 00:18

Я немного поигрался с точками (через линейную интерполяцию с последующим сглаживанием и сэмплингом). Посмотрите, подойдёт ли вам такой вариант. В архиве шейп-файл с частью "выровненных" по высоте точек.
topsel_patch_l_SAMPLE.7z
(15.01 КБ) 384 скачивания
Редактор материалов, модератор форума

gammbeat
Новоприбывший
Сообщения: 9
Зарегистрирован: 09 дек 2015, 17:14
Репутация: 0

Re: Экстренно нужна помощь в выравнивании высот!

Сообщение gammbeat » 10 дек 2015, 11:28

Нет это один файл просто интернет тут не очень и "подтормаживает". файл один.
скачал файл, глянул, если честно разницу не увидел( к примеру крест 4537/1240. "отлет" по прежнему остался ~2м по остальным крестам пробежал эффект тот же

gammbeat
Новоприбывший
Сообщения: 9
Зарегистрирован: 09 дек 2015, 17:14
Репутация: 0

Re: Экстренно нужна помощь в выравнивании высот!

Сообщение gammbeat » 10 дек 2015, 11:32

вот пример. в мап ваш файл, в топселе мой.
Вложения
12.jpg
12.jpg (192.35 КБ) 9326 просмотров

sysrepos
Активный участник
Сообщения: 128
Зарегистрирован: 07 окт 2012, 16:25
Репутация: 20
Откуда: Москва

Re: Экстренно нужна помощь в выравнивании высот!

Сообщение sysrepos » 10 дек 2015, 12:04

я правильно понял, что нужно в 4 точках изменить высоту на среднюю? (по этим 4 точкам что выделены зеленой лининей)
Вложения
Screenshot-522.jpg
Screenshot-522.jpg (20.21 КБ) 9309 просмотров

gamm
Гуру
Сообщения: 4184
Зарегистрирован: 15 окт 2010, 08:33
Репутация: -445565592
Ваше звание: программист
Откуда: Казань

Re: Экстренно нужна помощь в выравнивании высот!

Сообщение gamm » 10 дек 2015, 12:15

gammbeat писал(а):Здравствуйте! очень нужна помощь! суть проблемы: как имея файл координат: xyz, состоящий из пересекающихся линий выровнять высоты на крестах( в местах пересечений)?
нужно что то вроде интерполяции но чтоб не создавать новую точку, а изменить координаты уже существующих.
у вас задача не сформулирована, поэтому помочь вам тяжело. Не указано, что можно менять, а что нет - можно все отметки менять произвольным образом, или что-то нельзя.

P.S. подобная картинка получается, например, если две партии делали сейсмические профили, тогда перепады между соседними точками более-менее правильные, и нужно весь профиль смещать вверх/вниз на константу. Т.е. нужно найти такую систему констант, которая, после прибавления в отметкам профилей, совмещает их в пересечениях. Либо найти такую систему плоскостей, которая, после прибавления в отметкам профилей, совмещает их в пересечениях. И т.д. В общем, ответ зависит от постановки задачи, а постановки пока нет.

gammbeat
Новоприбывший
Сообщения: 9
Зарегистрирован: 09 дек 2015, 17:14
Репутация: 0

Re: Экстренно нужна помощь в выравнивании высот!

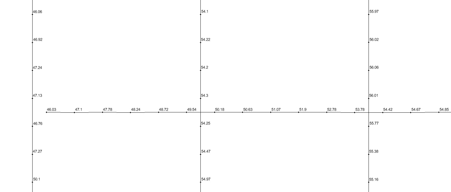
Сообщение gammbeat » 10 дек 2015, 12:27

sysrepos писал(а):я правильно понял, что нужно в 4 точках изменить высоту на среднюю? (по этим 4 точкам что выделены зеленой лининей)

ну почти да, разница лишь в том что это два профиля (линии) и у них разниться высота уж очень сильно, и ее нужно усреднить. то есть к примеру взять четыре точки, но по одной линии и усреднить так чтоб она приблезительно с допуском в 0.8м попала по высоте со вторым профилем.

скинул пример. что то вроде усреднения.
Вложения
123123.jpg
123123.jpg (146.88 КБ) 9297 просмотров

gammbeat
Новоприбывший
Сообщения: 9
Зарегистрирован: 09 дек 2015, 17:14
Репутация: 0

Re: Экстренно нужна помощь в выравнивании высот!

Сообщение gammbeat » 10 дек 2015, 12:33

gamm писал(а):
gammbeat писал(а):Здравствуйте! очень нужна помощь! суть проблемы: как имея файл координат: xyz, состоящий из пересекающихся линий выровнять высоты на крестах( в местах пересечений)?
нужно что то вроде интерполяции но чтоб не создавать новую точку, а изменить координаты уже существующих.
у вас задача не сформулирована, поэтому помочь вам тяжело. Не указано, что можно менять, а что нет - можно все отметки менять произвольным образом, или что-то нельзя.

P.S. подобная картинка получается, например, если две партии делали сейсмические профили, тогда перепады между соседними точками более-менее правильные, и нужно весь профиль смещать вверх/вниз на константу. Т.е. нужно найти такую систему констант, которая, после прибавления в отметкам профилей, совмещает их в пересечениях. Либо найти такую систему плоскостей, которая, после прибавления в отметкам профилей, совмещает их в пересечениях. И т.д. В общем, ответ зависит от постановки задачи, а постановки пока нет.

Рабочий момент: Партия работала одна, но до нас было другое руководство которое не уследило за работой геодезистов. То есть съемка велась как попало (где то не настроена высота инструмента, где то работал геоид а где то нет и тд.. ). Ну и вот собственно это нужно как то приводить в порядок. Менять можно впринципе любые точки, но упираясь на более "правдивые" данные. Задача - выравнять высоту на крестах, местах пересечений этих самых профилей с разбегом не более в 0.8 метра. Как то так.

Ответить

Вернуться в «MapInfo»

Кто сейчас на конференции

Сейчас этот форум просматривают: нет зарегистрированных пользователей и 13 гостей